Lagrange Multipliers Explained Simply

T.Baptistmissionaustralia 83 views
Lagrange Multipliers Explained Simply

Lagrange Multipliers Explained Simply

Hey guys! Today, we’re diving deep into a really cool mathematical concept called Lagrange multipliers . If you’ve ever found yourself scratching your head trying to figure out the best way to maximize or minimize something under certain conditions, then this is for you. Think of it like trying to find the highest point on a mountain while staying on a specific hiking trail. You can’t just wander off anywhere; you’ve got to stick to the path, right? That’s where Lagrange multipliers come in handy. They give us a systematic way to solve these kinds of constrained optimization problems.

So, what exactly are we trying to achieve here? Imagine you have a function, let’s call it \(f(x, y)\) , and you want to find its maximum or minimum value. Easy peasy if there are no restrictions, right? You just take the derivatives and set them to zero. But what if you have a constraint, like \(g(x, y) = c\) , where \(c\) is some constant? This constraint means your variables \(x\) and \(y\) can’t just be any old values; they have to satisfy this specific equation. For example, you might want to find the maximum profit of a company given a limited budget, or the shortest distance from a point to a curve. These are all constrained optimization problems, and they pop up everywhere in physics, economics, engineering, and more. The beauty of Lagrange multipliers is that they transform a problem with a constraint into a slightly larger, but unconstrained, problem that we can solve using the same calculus tools we already know. It’s like having a secret key to unlock a whole new set of problems!

At its core, the method of Lagrange multipliers is all about gradients. Remember gradients? They point in the direction of the steepest ascent of a function. So, if we’re at a point \((x, y)\) on our constraint curve \(g(x, y) = c\) , and we’re also at an extremum (maximum or minimum) of our function \(f(x, y)\) along that curve , then something special must be happening with the gradients. The intuition is this: if you could move along the constraint curve and increase or decrease the value of \(f\) , then you wouldn’t be at an extremum. Therefore, at the extremum point, the direction of steepest ascent for \(f\) must be perpendicular to the constraint curve. Why perpendicular? Because if it had a component along the curve, you could move further in that direction and change the value of \(f\) . The gradient of the constraint function, \( abla g\) , also tells us something important: it’s perpendicular to the level curves of \(g\) . Since our constraint \(g(x, y) = c\) defines a specific level curve, \( abla g\) is perpendicular to that curve. So, if \( abla f\) is perpendicular to the constraint curve and \( abla g\) is perpendicular to the constraint curve, it means that \( abla f\) and \( abla g\) must be pointing in the same or opposite directions. In other words, they must be parallel!

Mathematically, this parallelism is expressed as \( abla f = oldsymbol{oldsymbol{ abla}} g\) for some scalar multiplier, which we call the Lagrange multiplier, usually denoted by the Greek letter lambda ( \(oldsymbol{oldsymbol{ abla}}\) ). This single equation, along with the original constraint equation \(g(x, y) = c\) , gives us a system of equations. For two variables \(x\) and \(y\) , and a constraint \(g(x, y) = c\) , we’d have:

\( rac{oldsymbol{ abla} f}{oldsymbol{ abla} x} = oldsymbol{ abla} rac{oldsymbol{ abla} g}{oldsymbol{ abla} x}\)

\( rac{oldsymbol{ abla} f}{oldsymbol{ abla} y} = oldsymbol{ abla} rac{oldsymbol{ abla} g}{oldsymbol{ abla} y}\)

\(g(x, y) = c\)

This system typically has three equations and three unknowns ( \(x, y, oldsymbol{ abla}\) ). Solving this system will give us the candidate points where the extrema might occur. Remember, this method finds candidate points, so we still need to check the values of \(f\) at these points (and sometimes at the boundary of the domain, if applicable) to determine which one is the actual maximum or minimum. It’s a powerful technique, and once you get the hang of it, you’ll see it’s way more intuitive than it initially sounds!

The Intuition Behind the Magic

Let’s really dig into why this gradient parallelism works. Imagine you’re hiking on a mountain, and the height of the mountain is given by your function \(f(x, y)\) . Now, suppose you have to stick to a specific trail, which is defined by your constraint function \(g(x, y) = c\) . You want to find the highest or lowest point on that trail .

Think about the level curves of the height function \(f\) . These are like contour lines on a map. If you move along one of these contour lines, your altitude \(f\) stays the same. Similarly, the constraint \(g(x, y) = c\) represents a specific path or curve on the ground. Your goal is to find the point on this path where the contour line of \(f\) that it touches is either the highest possible contour line (maximum) or the lowest possible contour line (minimum) that the path intersects.

Now, consider a point on the trail (the constraint curve). If you can move along the trail and change your altitude (i.e., change the value of \(f\) ), then that point isn’t the highest or lowest point on the trail. You’d only be at a potential maximum or minimum if any small movement along the trail doesn’t change your altitude.

What does this mean in terms of gradients? The gradient of \(f\) , \(oldsymbol{ abla} f\) , points in the direction of the steepest increase in altitude. The gradient of \(g\) , \(oldsymbol{ abla} g\) , is perpendicular to the constraint curve \(g(x, y) = c\) . If you are at a point on the constraint curve where \(f\) is maximized or minimized along that curve , it means that the direction of steepest ascent for \(f\) ( \(oldsymbol{ abla} f\) ) must be perpendicular to the constraint curve. If \(oldsymbol{ abla} f\) had any component pointing along the constraint curve, you could move in that direction and increase (or decrease) your altitude, meaning you weren’t at an extremum.

Since both \(oldsymbol{ abla} f\) and \(oldsymbol{ abla} g\) are perpendicular to the constraint curve at the point of extremum, they must be parallel to each other. They are both normal vectors to the curve at that point. This parallelism is what the Lagrange multiplier equation, \(oldsymbol{ abla} f = oldsymbol{ abla} g\) , captures. It states that the gradient of the function you want to optimize is proportional to the gradient of the constraint function at the optimal point. The proportionality constant is \(oldsymbol{ abla}\) , the Lagrange multiplier itself. This elegant geometric insight is the foundation of the entire method, transforming a potentially complex constrained problem into a solvable system of equations.

The Math Breakdown: Setting Up the Equations

Alright, let’s get down to the nitty-gritty of how we actually use Lagrange multipliers. Suppose we want to find the extrema of a function \(f(x_1, x_2, oldsymbol{ abla}, x_n)\) subject to a constraint \(g(x_1, x_2, oldsymbol{ abla}, x_n) = c\) . The core idea, as we discussed, is that at an extremum, the gradient of \(f\) must be parallel to the gradient of \(g\) . This means \(oldsymbol{ abla} f = oldsymbol{ abla} g\) for some scalar \(oldsymbol{ abla}\) .

Let’s break this down into components. If we have a function of two variables, \(f(x, y)\) , and a constraint \(g(x, y) = c\) , the gradient vectors are:

\(oldsymbol{ abla} f = igg rac{oldsymbol{ abla} f}{oldsymbol{ abla} x}, rac{oldsymbol{ abla} f}{oldsymbol{ abla} y}igg\)

\(oldsymbol{ abla} g = igg rac{oldsymbol{ abla} g}{oldsymbol{ abla} x}, rac{oldsymbol{ abla} g}{oldsymbol{ abla} y}igg\)

So, the condition \(oldsymbol{ abla} f = oldsymbol{ abla} g\) translates to:

\( rac{oldsymbol{ abla} f}{oldsymbol{ abla} x} = oldsymbol{ abla} rac{oldsymbol{ abla} g}{oldsymbol{ abla} x}\) (Equation 1)

\( rac{oldsymbol{ abla} f}{oldsymbol{ abla} y} = oldsymbol{ abla} rac{oldsymbol{ abla} g}{oldsymbol{ abla} y}\) (Equation 2)

We also have the original constraint equation:

\(g(x, y) = c\) (Equation 3)

Now we have a system of three equations with three unknowns: \(x\) , \(y\) , and \(oldsymbol{ abla}\) . Solving this system gives us the coordinates \((x, y)\) of the points where the extrema might occur. These are our candidate points .

It’s often more convenient to define a new function, called the Lagrangian function , which incorporates both the function to be optimized and the constraint. The Lagrangian is defined as:

\(L(x, y, oldsymbol{ abla}) = f(x, y) - oldsymbol{ abla}(g(x, y) - c)\)

Notice the term \(oldsymbol{ abla}(g(x, y) - c)\) . If \(g(x, y) = c\) , then this term is zero, and \(L(x, y, oldsymbol{ abla}) = f(x, y)\) . So, on the constraint curve, the Lagrangian is just our original function.

Now, we find the critical points of the Lagrangian function \(L\) by setting its partial derivatives with respect to \(x\) , \(y\) , and \(oldsymbol{ abla}\) to zero:

\( rac{oldsymbol{ abla} L}{oldsymbol{ abla} x} = rac{oldsymbol{ abla} f}{oldsymbol{ abla} x} - oldsymbol{ abla} rac{oldsymbol{ abla} g}{oldsymbol{ abla} x} = 0 oldsymbol{ ightarrow} rac{oldsymbol{ abla} f}{oldsymbol{ abla} x} = oldsymbol{ abla} rac{oldsymbol{ abla} g}{oldsymbol{ abla} x}\) (This is Equation 1!)

\( rac{oldsymbol{ abla} L}{oldsymbol{ abla} y} = rac{oldsymbol{ abla} f}{oldsymbol{ abla} y} - oldsymbol{ abla} rac{oldsymbol{ abla} g}{oldsymbol{ abla} y} = 0 oldsymbol{ ightarrow} rac{oldsymbol{ abla} f}{oldsymbol{ abla} y} = oldsymbol{ abla} rac{oldsymbol{ abla} g}{oldsymbol{ abla} y}\) (This is Equation 2!)

\( rac{oldsymbol{ abla} L}{oldsymbol{ abla} oldsymbol{ abla}} = -(g(x, y) - c) = 0 oldsymbol{ ightarrow} g(x, y) = c\) (This is Equation 3!)

See? By taking the partial derivatives of the Lagrangian and setting them to zero, we automatically get the same system of equations as before. This Lagrangian approach is super common because it neatly bundles everything together. Once you solve this system for \(x, y,\) and \(oldsymbol{ abla}\) , you’ll get a set of \((x, y)\) pairs. You then plug these pairs back into your original function \(f(x, y)\) to find the maximum and minimum values.

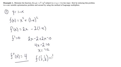
A Simple Example to Make It Click

Let’s put this into practice with a classic example. Suppose we want to find the maximum area of a rectangle inscribed in a circle of radius \(R\) .

First, let’s define our functions. The area of a rectangle with sides \(x\) and \(y\) is \(A(x, y) = xy\) . This is the function we want to maximize.

The constraint is that the rectangle is inscribed in a circle of radius \(R\) . If the center of the circle is at the origin, the equation of the circle is \(x^2 + y^2 = R^2\) . However, for a rectangle with sides \(x\) and \(y\) , if we consider the vertices to be \((oldsymbol{ abla}x/2, oldsymbol{ abla}y/2)\) , \((-oldsymbol{ abla}x/2, oldsymbol{ abla}y/2)\) , etc., the diagonal of the rectangle is \(2R\) . Using the Pythagorean theorem, \((x)^2 + (y)^2 = (2R)^2\) is not quite right for sides \(x\) and \(y\) .

A more standard way is to let the vertices be \((x, y), (-x, y), (-x, -y), (x, -y)\) . Then the width is \(2x\) and the height is \(2y\) . The area is \(A = (2x)(2y) = 4xy\) . The constraint is that the vertices lie on the circle, so \(x^2 + y^2 = R^2\) . This is our \(g(x, y) = R^2\) . We want to maximize \(A(x, y) = 4xy\) subject to \(g(x, y) = x^2 + y^2 = R^2\) .

Let’s use the Lagrangian method. Our function is \(f(x, y) = 4xy\) and our constraint is \(g(x, y) = x^2 + y^2 = R^2\) . The Lagrangian is:

\(L(x, y, oldsymbol{ abla}) = 4xy - oldsymbol{ abla}(x^2 + y^2 - R^2)\)

Now, we take partial derivatives and set them to zero:

  1. \( rac{oldsymbol{ abla} L}{oldsymbol{ abla} x} = 4y - 2oldsymbol{ abla}x = 0 oldsymbol{ ightarrow} 4y = 2oldsymbol{ abla}x oldsymbol{ ightarrow} 2y = oldsymbol{ abla}x\)
  2. \( rac{oldsymbol{ abla} L}{oldsymbol{ abla} y} = 4x - 2oldsymbol{ abla}y = 0 oldsymbol{ ightarrow} 4x = 2oldsymbol{ abla}y oldsymbol{ ightarrow} 2x = oldsymbol{ abla}y\)
  3. \( rac{oldsymbol{ abla} L}{oldsymbol{ abla} oldsymbol{ abla}} = -(x^2 + y^2 - R^2) = 0 oldsymbol{ ightarrow} x^2 + y^2 = R^2\)

From equations 1 and 2, we can express \(oldsymbol{ abla}\) in two ways: \(oldsymbol{ abla} = rac{2y}{x}\) and \(oldsymbol{ abla} = rac{2x}{y}\)

So, \( rac{2y}{x} = rac{2x}{y}\) . This implies \(2y^2 = 2x^2\) , which simplifies to \(y^2 = x^2\) . Since \(x\) and \(y\) represent dimensions, they must be positive, so \(y = x\) .

Now, substitute \(y = x\) into the constraint equation (equation 3):

\(x^2 + x^2 = R^2\) \(2x^2 = R^2\) \(x^2 = rac{R^2}{2}\) \(x = rac{R}{oldsymbol{ abla}2}\)

Since \(y = x\) , we also have \(y = rac{R}{oldsymbol{ abla}2}\) .

So, the dimensions that maximize the area are \(x = y = rac{R}{oldsymbol{ abla}2}\) . This means the rectangle is actually a square!

The maximum area is \(A = 4xy = 4 igg( rac{R}{oldsymbol{ abla}2}igg) igg( rac{R}{oldsymbol{ abla}2}igg) = 4 rac{R^2}{2} = 2R^2\) .

This makes sense! A square is the most efficient rectangle in terms of area for a given perimeter or diagonal constraint.

When Does This Method Apply?

Lagrange multipliers are your go-to tool for constrained optimization problems . This means you’re trying to find the maximum or minimum value of a function, but your variables have to satisfy one or more equality constraints. It’s super versatile!

Here are some key scenarios where you’ll find Lagrange multipliers invaluable:

  • Maximizing or Minimizing Objective Functions: This is the bread and butter. Think about maximizing profit given a budget, minimizing cost while meeting production targets, or finding the shortest path between two points on a specific surface.
  • Physics Problems: In physics, Lagrange multipliers appear in many contexts. For instance, in classical mechanics, the principle of least action can be formulated using Lagrange multipliers to handle constraints. You might also see them when dealing with systems under constraints, like a pendulum swinging under gravity.
  • Economics: Economists frequently use Lagrange multipliers. For example, a consumer wants to maximize their utility (satisfaction) given a budget constraint. A firm might want to maximize its output subject to constraints on labor and capital.
  • Engineering: In engineering design, you might need to find the optimal dimensions of a structure that minimize weight while satisfying strength requirements, or maximize efficiency within certain operational parameters.
  • Geometry: As we saw in the rectangle example, Lagrange multipliers can solve geometric optimization problems, like finding the point on a curve closest to another point, or the maximum volume of a shape inscribed within another.

Important Considerations:

  • Equality Constraints Only: The standard Lagrange multiplier method is designed for equality constraints ( \(g(x, y) = c\) ). If you have inequality constraints ( \(g(x, y) oldsymbol{ abla} c\) ), you’ll need to look into more advanced techniques like the Karush-Kuhn-Tucker (KKT) conditions.
  • Differentiability: The functions \(f\) and \(g\) must be differentiable at the point of interest. This is why we rely on gradients.
  • Regularity Condition: For the method to work correctly, the gradient of the constraint function ( \(oldsymbol{ abla} g\) ) must be non-zero at the point of extremum. If \(oldsymbol{ abla} g = 0\) , the method might fail, and you’d need to investigate those points separately.
  • Finding Candidates: Remember that the points found using Lagrange multipliers are candidates for extrema. You still need to verify if they are indeed maxima, minima, or saddle points, usually by evaluating the function \(f\) at these points and comparing the values, or by using the second derivative test for constrained optimization.

So, guys, whenever you’re faced with an optimization problem where your variables are tied together by one or more equations, give Lagrange multipliers a shot. They’re a powerful, elegant, and remarkably useful tool in the mathematician’s toolkit!